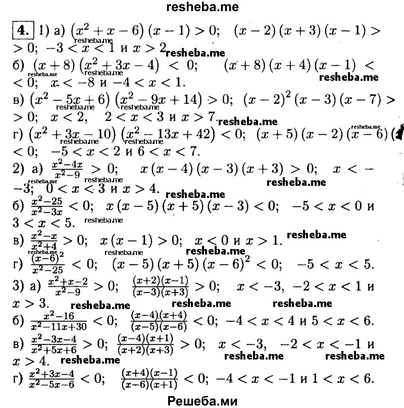
ГДЗ по алгебре 8 класс Жохов В.И. Базовый уровень самостоятельные работы / вариант 2 / С-57 / 4

Подробное решение самостоятельные работы / вариант 2 / С-57 4 по алгебре дидактические материалы для учащихся 8 класса, авторов Жохов В.И., Макарычев Ю.Н., Миндюк Н.Г. Базовый уровень 2014-2025

показать содержание
Решебник 2014 № 2 / самостоятельные работы / вариант 2 / С-57 / 4
    ГДЗ (Решебник 2014 № 2) по
    алгебре    8 класс
            (дидактические материалы)            Жохов В.И.
     /        самостоятельные работы / вариант 2 / С-57 / 4
    (продолжение 2)